Chúng ta phải làm gì? (Kỳ 3) – Hoạt động nhóm và thông tin liên lạc
Chúng ta phải làm gì? (Kỳ 3) – Hoạt động nhóm và thông tin liên lạc
Đặng Chí Hùng (Danlambao) – Kết hợp với các biện pháp đã nêu trong bài kỳ 2 để giành độc lập, tự do, dân chủ cho Việt Nam. Như trong “Chúng ta phải làm gì?” kỳ 2 tôi đã trình bày công việc trước mắt của chúng ta là hoạt động theo nhóm từng công việc cụ thể. Trong kỳ 3 này tôi xin gửi đến bạn đọc những gì chúng ta cần phải làm để hoạt động xây dựng lực lượng và nhóm cùng với một số lưu ý về thông tin liên lạc trong lúc chờ thời cơ vùng lên. Dẫu biết rằng trên thực tế đã có rất nhiều tổ chức đã có những hoạt động rất hiệu quả. Nhưng một chút kinh nghiệm nhỏ bé của tôi trong hoạt động mong rằng có thể giúp ích nhiều bạn. Đây hoàn toàn không phải là yêu cầu hay “dạy khôn” mà chỉ đơn thuần là một ý kiến, một lời chân thành của cá nhân tôi.
I. Đôi điều cơ bản về hoạt động nhóm
1. Đôi điều về nhóm
Mặc dù hoạt động nhóm đã phổ biến từ rất xa xưa. Nhưng thực tế cho thấy đã có những vấn đề nảy sinh trong mô hình làm việc theo nhóm thường liên quan đến nhiệm vụ được giao và quá trình triển khai công việc và bản thân quy trình làm việc đội nhóm.
Nếu không có sự chú ý đầy đủ đến quy trình này, hiệu quả của nhóm sẽ không được phát huy, và ngược lại, nếu có sự quản lý phù hợp, mô hình làm việc theo nhóm sẽ đạt hiệu quả gấp nhiều lần so với những gì một cá nhân riêng lẻ có thể làm được. Đây chính là lý do giải thích việc tại sao đội nhóm lại có sức hấp dẫn đến vậy, mặc dù quá trình hình thành nhóm luôn gặp nhiều khó khăn và đòi hỏi không ít thời gian.
Mô hình làm việc theo nhóm có thể thúc đẩy tinh thần hợp tác, sự phối hợp, hiểu biết và hỗ trợ lẫn nhau giữa các thành viên, từ đó tạo ra những giải pháp mới cho mọi vấn đề khó khăn. Những kỹ năng và sự hiểu biết của cả nhóm có ích lợi lớn đối với từng cá nhân. Tuy nhiên, lợi ích lớn nhất của mô hình đội nhóm là tận dụng mọi nguồn lực chung của nhóm.
Kỹ năng của mỗi cá nhân và sự tự giám sát của nhóm sẽ tạo điều kiện cho việc hoàn thành mục tiêu một cách tốt nhất. Thậm chí, với những vấn đề có thể được xử lý bởi một cá nhân thì việc giao cho đội nhóm giải quyết vẫn có những ích lợi riêng: thứ nhất là việc tham gia của nhóm sẽ tăng khả năng quyết định và thực hiện, thứ hai là có những vấn đề mà nhóm sẽ có khả năng phân tích rõ hơn chỉ một cá nhân riêng lẻ.
Ích lợi của mô hình đội nhóm còn được thể hiện qua sự hoàn thiện bản thân của mỗi thành viên tham gia. Qua việc tham gia thảo luận về quyết định của nhóm, qua việc tham gia tìm hiểu mục đích và văn hóa nhóm, mỗi người sẽ có khả năng giải quyết những vấn đề liên quan đến công việc. Từ góc độ cá nhân, mỗi người có thể phát huy được khả năng tiềm tàng của mình. Bởi vì nhóm có thể tạo môi trường làm việc tập thể – nơi mỗi cá nhân đều được giao trách nhiệm và có quyền hạn, nơi mà sự tin tưởng và sẻ chia được đặt lên hàng đầu – nên có thể khuyến khích mọi người làm việc nhiệt tình hơn.
Vì những lợi ích như vậy, nên việc xây dựng và phát triển nhóm là một nhiệm vụ rất quan trọng. Thông thường, quá trình phát triển của một nhóm trải qua các giai đoạn: hình thành, xung đột, bình thường hóa và cuối cùng là thực hiện.
Giai đoạn một: Là khi mọi người tập hợp thành một nhóm. Trong giai đoạn này, các thành viên tỏ ra giữ ý, khiêm nhường và có phần hơi lạnh nhạt. Mâu thuẫn hiếm khi bùng phát do chủ yếu mọi hoạt động còn mang tính chất cá nhân. Mỗi cá nhân sẽ đều có ý kiến riêng và nhìn chung đều dè dặt. Dường như không ai chứng tỏ được khả năng làm lãnh đạo của nhóm.
Giai đoạn hai: Đây là thời kỳ bắt đầu hình thành bè cánh, có sự xung đột giữa các tính cách trái ngược nhau, không ai chấp nhận ý kiến của người khác mà chưa có cuộc tranh cãi gay gắt trước đó. Đặc biệt là có rất ít sự giao tiếp giữa các thành viên, vì không ai sẵn sàng nghe người khác nói cũng như không chịu mở lòng với người khác. Cuộc “chiến tranh ngầm” này mang tính cực đoan với những lời châm chọc, công kích có ý nghĩa sâu xa.
Giai đoạn ba: Các tiểu nhóm bắt đầu nhận ra giá trị của mô hình làm việc hợp tác, do đó sự xung đột dần lắng xuống. Vì tinh thần hợp tác đã rõ ràng hơn nên mỗi thành viên cảm thấy an toàn để phát biểu ý kiến của mình và mọi vấn đề bắt đầu được thảo luận cởi mở với toàn nhóm. Đặc biệt là mọi người đã lắng nghe lẫn nhau. Phương pháp làm việc nhóm bắt đầu được thiết lập và được mọi thành viên thừa nhận.
Giai đoạn bốn: Là thực hiện nhiệm vụ của nhóm. Đây là giai đoạn nhóm làm việc nhiệt tình, tích cực và hiệu quả nhất. Nhóm ổn định thành một hệ thống có tổ chức, nền tảng của việc trao đổi ý kiến một cách tự do và thẳng thắn. Đây cũng là giai đoạn nhóm đạt được những mục tiêu chủ yếu và là công cụ hỗ trợ đắc lực nhất cho tổ chức.
2. Những kỹ năng cần thiết của nhóm
Một nhóm cần bao gồm hai kỹ năng là kỹ năng quản lý và kỹ năng tương tác cá nhân. Để phát huy hiệu quả làm việc theo nhóm, chúng ta cần tập hợp được cả hai kỹ năng này.
Một nhóm phải thực hiện hầu hết các nhiệm vụ như tổ chức các cuộc họp, quyết định ngân sách, lập các kế hoạch chiến lược, các mục tiêu và giám sát việc thực hiện. Sẽ là điều không tưởng khi hi vọng một cá nhân đảm nhận mọi trách nhiệm quản lý nhóm mà không có sự hỗ trợ nào từ các thành viên khác. Là một tập hợp các cá nhân khác nhau, nhóm còn cần phải học các cách ứng xử và các kỹ năng quản lý con người.
Để nhóm có thể phát triển tốt và phát huy tác dụng của nó, các bạn có thể tham khảo một số gợi ý sau đây:
Trước hết, nhóm cần có tâm điểm. Hai tâm điểm chính là nhóm và nhiệm vụ được giao. Nếu cần quyết định một vấn đề, nhóm sẽ quyết định. Nếu có vướng mắc, nhóm sẽ giải quyết. Nếu một thành viên không đủ năng lực hoàn thành nhiệm vụ, nhóm sẽ yêu cầu thay thế. Khi mâu thuẫn cá nhân tăng lên, nhóm cần xem xét vấn đề từ khía cạnh ảnh hưởng của mâu thuẫn đó tới những nhiệm vụ được giao cho mỗi cá nhân. Nhưng nếu nhóm thiếu sự tổ chức và mục đích cụ thể, khi đó trách nhiệm lại thuộc về cấp lãnh đạo và chủ đầu tư.
Thứ hai là cần có sự minh bạch rõ ràng về mục tiêu chính của công việc. Trong bất kỳ trường hợp nào, nhóm cũng phải giải thích rõ ràng và cụ thể nhằm đảm bảo mọi người đều hiểu rõ về điều đó.
Tiếp theo, nhóm cần có những cách tác động khác nhau lên các loại người khác nhau trong nhóm. Trách nhiệm của trưởng nhóm là khuyến khích các cá nhân ít nói bộc bạch ý kiến của mình và tham gia vào các cuộc thảo luận và hoạt động của nhóm. Ngược lại, những người sôi nổi trong nhóm thường có xu thế nổi bật và chiếm ưu thế ở trong các thảo luận nhóm. Trách nhiệm của trưởng nhóm là theo dõi họ, khuyến khích họ đóng góp ý kiến, đồng thời nhắc nhở họ phải biết lắng nghe ý kiến người khác.
Mặt khác, nhóm cũng cần có sự phản hồi trong mọi hoạt động của các cá nhân. Mọi sự phê bình phải mang tính công bằng và khách quan, tập trung vào nhiệm vụ mà họ thực hiện chứ không phải cá nhân họ. Những sai phạm cần được chỉ ra rõ ràng và kịp thời. Sẽ rất có ích nếu trưởng nhóm đưa ra sự phản hồi một cách thường xuyên, đặc biệt đối với lỗi lầm, dù là nhỏ nhất. Điều này sẽ làm giảm đi những tác động tiêu cực của sự sai lầm khi mọi việc đã trở nên quá muộn. Còn với các trường hợp làm việc tốt, trưởng nhóm nên khen ngợi và đánh giá cao. Điều đó sẽ khuyến khích mọi người làm việc tốt hơn.
Một điều cũng rất cần thiết khi làm việc trong nhóm là chủ động giao tiếp với mọi người. Giao tiếp là trách nhiệm của cả người nói lẫn người nghe. Người nói phải chủ động tìm cách diễn đạt ý kiến một cách ngắn gọn và dễ hiểu nhất, còn người nghe thì chủ động tìm cách hiểu ý của người nói và nếu có thắc mắc thì nên hỏi lại kỹ hơn. Tóm lại, cả hai cần đảm bảo ý kiến sẽ được diễn đạt một cách đầy đủ và chính xác.
Mô hình đội nhóm mang lại nhiều ích lợi, nhưng cũng là phong cách làm việc khó khăn đối với mọi người. Đội nhóm là một mối quan hệ, vì vậy bạn cần phải gìn giữ và củng cố nó. Một khi mọi người trong nhóm có trách nhiệm với mục tiêu chung, họ sẽ tạo thành một động lực lớn cho sự phát triển. Bên cạnh đó, thời gian và nguồn lực cần được phân bổ hợp lý trong nhóm, quy trình thực hiện của nhóm cần được thiết lập, giám sát và xem xét cụ thể.
II. Cụ thể các vấn đề nhóm trong đấu tranh chống cộng sản
Ở phần trên chúng ta đã nêu khái quát về lợi ích, khó khăn và những kỹ năng cần thiết của hoạt động nhóm. Trong phần này là những công việc cụ thể hơn trong vấn đề nhóm đấu tranh chống cộng sản.
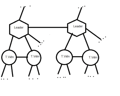
Như chúng ta đã biết khi chúng ta đấu tranh ngoài tinh thần dân tộc thì những tính cách chuyên môn đều không được đào tạo theo kiểu “chính quy” bài bản như cộng sản, chưa kể sự lỏng lẻo trong thế “liên kết” hiện vẫn chưa thể thực hiện được trong bối cảnh tranh tối tranh sáng vì niềm tin đã bị chính sách “phân hóa” đốn ngã kể từ khi HCM đem chủ thuyết cộng sản về áp đặt trong đời sống của con dân Việt. Vì thế mục tiêu tối hậu phải là BÍ MẬT. Phải biết chia thành nhiều nhóm, phân công tác đặt đúng vai trò khả năng để thực hiện, đào tạo khả năng chuyên môn là điều rất cần thiết vì mỗi “hành động” phải đi đến thành công chứ không thể thất bại. Và một khi thất bại cũng chỉ ảnh hưởng một nhóm chứ không bị phá vỡ toàn diện. Bất cứ một tổ chức hay một đoàn thể nào cũng bắt đầu từ một người khởi xướng, hiền thần hay minh quân cũng đều phải thuộc lòng và áp dụng đúng với câu “Khử ngọc chỉ cần bảy ngày, nhận biết người tài phải cần đến ba năm” nhận biết người tài chưa đủ, phải biết sử dụng cái tài đó vào đúng nơi đúng chỗ, đúng việc. Khởi đầu dĩ nhiên là tạo dựng nhân lực, sau đó tùy theo khả năng nhân lực có được mà hành động, bên cạnh đó vẫn tiếp tục chiêu dụng nhân tài, những người đồng chí hướng. Sau đây là sơ đồ mô hình nhóm theo ý tưởng của tôi:
1. Nguyên tắc hoạt động của nhóm:
– Một nhóm nên có khoảng dưới 10 người (Nếu có đông hơn thì nên chia nhỏ) dưới sự lãnh đạo của một người, tất cả đều mang bí danh. Chỉ những thành viên trong nhóm biết nhau và không biết các thành viên nhóm khác.
– Các thành viên hoạt động thống nhất với các nhóm khác thông qua trưởng nhóm của mình mà không biết đến các thành viên nhóm khác (Có nghĩa là chỉ có các trưởng nhóm và các thành viên trong 1 nhóm biết nhau, hai nhóm kết nối thông qua trưởng nhó của mình).
– Mỗi một trưởng nhóm cũng là thành viên của một nhóm cấp cao hơn nên cũng áp dụng mô hình ban đầu như trên đã nêu.
– Mỗi một người sẽ thành lập một nhóm dưới 10 người dưới sự chỉ đạo của mình, từ đó con số sẽ nhân lên. Và cũng lặp lại mô hình ban đầu đó là chỉ trưởng nhóm mới biết được trưởng nhóm khác mà không được biết tên, thông tin của các thành viên nhóm khác.
– Làm được điều này sẽ an toàn vì nếu một nhóm bị lộ thì không ảnh hưởng nhiều đến nhóm khác. Mặc dù vậy vẫn đảm bảo tính thông suốt thông tin qua việc sử dụng Internet và qua 1 trưởng nhóm.
– Nên có một phó trưởng nhóm để chia sẻ công việc của nhóm và cũng sẵn sàng thay thế trưởng nhóm trong trường hợp bất khả kháng.
2. Một vài lưu ý trong hoạt động nhóm:
-Vấn đề chi tiết trong kế hoạch hành động nó mang tính cách chiến thuật, điều này tùy thuộc vào khả năng của người lãnh đạo để đặt tên cho mỗi “chiến dịch”. Như vậy việc vạch ra hành động cho nhóm đặt ra yêu cầu người lãnh đạo phải tìm được Leader thích hợp.
– Không nên thông báo quá nhiều thông tin của nhóm như đi biểu tình, họp mặt vì như vậy công an, an ninh cộng sản sẽ biết trước kế hoạch để đàn áp. Cách thức thông tin là thông qua internet để các leader các nhóm dùng thành viên của mình để thông báo. Sau đó từ các thành viên lại tỏa đến các nhóm của mình theo mô hình bên trên. Kinh nghiệm từ các cuộc biểu tình, hội họp tại Việt Nam cho thấy cần dùng thành viên trong nhóm hơn là thông báo trên Facebook hay các trang mạng lề dân.
– Muốn cung cấp thông tin tuyên truyền cho bạn đọc thì nên dùng 1 facebook riêng không chung với facebook cá nhân.
– Tuyệt đối các leader không được lộ thông tin của thành viên nhóm mình cho các nhóm khác biết.
– Không dùng tên thật trong bất cứ tình huống nào để làm việc.
– Không nên mất quá nhiều thời gian vào họp hành và các công việc mang tính hình thức.
– Hạn chế mức tối đa họp nhóm offline. Dùng tối đa online để họp nhóm qua skype, teamviews…
– Luôn đề ra tâm điểm là lợi ích chung của phong trào đấu tranh chống cộng sản và đặt hiệu quả công việc lên trên hết.
III. Một số lưu ý trong thông tin liên lạc
Có thể có bạn đọc cho đây là điều thừa. Tuy nhiên cũng là rất cần thiết nếu chúng ta lưu ý đến các phương pháp bảo mật thông tin. Có thể sau này trong thực tiễn hoạt động phát sinh nhiều khó khăn như Virus mới, hacker mới do trình độ con người phát triển không giới hạn nhưng trong gia đoạn này cũng là có ích cho những nhóm cần bảo mật thông tin. Cũng cần nói thêm là trong khả năng có hạn của mình, đây chỉ là gợi ý của tôi. Những nhóm nào có khả năng kỹ thuật cao hơn thì sẽ có những biện pháp hoạt động tốt hơn giúp ích cho nhóm mình hoạt động an toàn. Phần này chỉ là ý kiến của tôi giúp bạn đọc tham khảo.
1. Vài lời khuyên về Hệ điều hành:
a. Windows:
– Thông thường chúng ta hay dùng hệ điều hành Windows. Trong các loại hệ điều hành Windows thì chúng ta hay dùng phổ biến là windows xp và windows 7.
– Các loại windows quá cổ lỗ thì không nên dùng vì không có update để tương thích với các vấn đề bảo mật cũng như phần mềm tương thích hoặc quá chậm. Windows 8 mới ra khuyên bạn không nên dùng vì cần thời gian hoàn thiện vá các lỗi cũng như để các phần mềm tương thích.
– Có thể chỉ dùng windows xp hoặc windows 7. Trong đó tôi khuyên các bạn nên dùng windows 7 bản ultimate 32 hoặc 64 bit tùy theo máy của các bạn. Bản ultimate là bản chạy ổn định và không có nhiều các lỗi bảo mật.
b. Android:
– Một lời khuyên là các bạn không nên dùng bất cứ thiết bị android nào để soạn thảo văn bản quan trọng vì HĐH này không an toàn ở bất cứ phiên bản nào. HĐH này chỉ phục vụ mức độ giải trí cho đến giờ phút này vì nó mắc quá nhiều lỗi bảo mật. Những virus có thể đến ngay từ những phần mềm trên Google Market không được kiểm soát.
– Không được dùng email quan trọng của mình có liên lạc với thành viên trong nhóm để đăng ký google market trên các thiết bị android. Điều này dễ dẫn đến lộ thông tin qua thiết bị Android.
c. Ubuntu:
– Lời khuyên tốt nhất cho các bạn là dùng hệ điều hành Ubuntu để dùng cách công việc cho mình. Vì ubuntu có mức độ an toàn hơn cả linux. Cho đến nay chưa có malware nào vượt qua được ubuntu (Mặc dù đã có lời đồn về Hacker có Virus cho Ubnutu nhưng chưa được kiểm chứng và cũng có thể sửa lỗi của Ubuntu khi phát hiện ra lỗi bảo mật).
– Nhược điểm của Ubuntu là có số 1 phần mềm không tương thích như yahoo messenger. Tuy nhiên đây cũng không phải là vấn đề lớn vì ta có thể cài đặt song song ubuntu trên 2 ổ cứng (hard disk) khác nhau. Một ổ dùng windows cho công việc thường. Còn Ubuntu thì dùng làm việc tốt với office, skype, gmail….
– Dowload ubuntu tại địa chỉ sau:
hoặc ra cửa hiệu mua đĩa ubuntu install để boot và cài đặt.
– Hướng dẫn cài ubuntu song song với windows:
Once the Windows installer has been downloaded, you need to open it to install Ubuntu. You’ll find detailed instructions below. If you need further help, support options are listed at the bottom of this page.
1. If you are using Internet Explorer, you’ll be asked whether you want to run or save the file. Choose ‘Run’ to launch the installer.
Most other web browsers (like Firefox, for example) will only ask you to save the file. To start the installation, click ‘Save’ and then double-click the downloaded file.
2. If a security message like this appears, click ‘Continue’ to proceed.
3. To install Ubuntu, all you need to do is choose your user name and password. Do note that you need to enter your password twice to make sure you typed it correctly.
4. After choosing your password, click ‘Install’. The files will be downloaded and installed automatically.
5. Wait until Ubuntu is downloaded and installed. This can take quite a while — the downloaded file size is around 500MB – but you can keep using your computer throughout.
6. When the installation is complete, you’ll be prompted to restart your computer. Click ‘Finish’ to restart.
7. After your computer restarts, choose ‘Ubuntu’ from the boot menu.
2.Trình duyệt web:
– Chúng ta có thể dùng 1 trong các trình duyệt sau đây: firefox, IE, Chrome, Opera..Nhưng theo lời khuyên các bạn nên dùng trình duyệt Opera hoặc Firefox để duyệt các web dễ bị theo dõi IP.
– Lý do dùng Opera là nhanh, có giao diện tiếng Anh, Việt, dễ dùng và đặc biệt không có lỗi bảo mật cộng với việc có sẵn proxy ngăn chặn 1 số tấn công ban đầu và dò Ip của các trang web độc.
– Không nên dùng chrome để duyệt các website nhạy cảm vì trình duyệt này tương đối nhiều lỗi bảo mật.
– Khi dùng thì tuyệt đối không dùng chế độ lưu lịch sử (history tự động) hoặc khi dùng xong thì bạn clear history đi ngay.
– Lưu ý: có thể dùng CCleaner để xóa thường xuyên các cookies duyệt web. Tuyệt đối không để lưu password email, skype, yahoo trên website mà phải dùng chế độ hỏi pass mỗi khi kích hoạt chương trình.
Dowload CCleaner tại đây:
Dowload opera tại đây:
3. Lưu trữ:
– Hiện nay các dịch vụ đám mây chưa hoàn thiện công nghệ bảo mật và cũng có thể các dịch vụ của công ty chịu sự kiểm duyệt của chính quyền nên không nên dùng các dịch vụ chia sẻ và lưu trữ dữ liệu đám mây cho các dữ kiện quan trọng.
– Có thể dùng usb hoặc ổ cứng (HDD) cắm ngoài để lưu trữ, tuy nhiên phải đặt pass các tài liệu làm 2 lớp; Lớp thứ nhất đặt pass trong word, exel… lớp thứ hai là đặt pass tại folder.Có thể dùng phần mềm để khóa folder, có nhiều loại phần mềm. Tôi khuyên các bạn nên dùng Bitlocker hoặc folder lock
– Các usb, ổ cứng cắm ngoài phải được kiểm tra và diệt virus bằng các phần mềm diệt virus chuyên dụng trước khi copy dữ liệu và tương tác với máy tính.
4. Email:
– Lời khuyên cho các bạn không nên dùng yahoo mail. An toàn nhất hiện nay là gmail hoặc tốt hơn là một email có mua của 1 công ty lớn bên Mỹ. Xin giới thiệu ví dụ như Go Daddy chẳng hạn.
– Không dùng email chính của mình có thông tin quan trọng trên thiết bị android, đặc biệt là tránh share trên google hoặc sync trên thiết bị android.
– Không dùng email thật của mình đăng ký các website hoặc diễn đàn.
– Nên tạo chữ ký khi dùng và đặc biệt dùng http (vào setting ->chê độ always use http)
– Không dùng email chính cho facebook hoặc các mạng xã hội tương tự.
– Nên dùng opera đi kèm với các phần mềm fake ip (sẽ giới thiệu ở dưới) để mở email.
– Nên quét virus các file đính kèm (đặc biệt các email lạ) bằng total virus rồi hãy mở file đó.
5. Các phần mềm vượt tường lửa:
Các bạn có thể dùng nhiều biện pháp, phần mềm để vượt tường lửa và fake ip cho an toàn nhưng tôi giới thiệu 2 phương pháp phổ biến và an toàn nhất sau đây (Xin trích dẫn chính bài viết đã được DLB đăng tải):
a. Hướng dẫn vượt tường lửa bằng phần mềm Ultra Surf
Xem tại:
* Lưu ý: Các bạn không cần dùng bản IE mà Ultrasurf đã tự động hiện lên. Các bạn tắt IE đi mà dùng các trình duyệt khác như Firefox, Opera… để dùng Ultrasurf.
b. Dùng Hospot Shield:
Xem tại:
* Lưu ý 1: Các bạn có thể thấy trên đầu trang web bạn truy cập sẽ có quảng cáo của Hotspot Shield chèn vào. Nếu bạn dùng IE thì bạn sẽ phải chung sống với nó vì không có cách nào loại bỏ được. Nếu bạn dùng Firefox hoặc Chrome thì có thể loại bỏ quảng cáo này rất đơn giản bằng cách cài thêm add-on AdBlock Plus, frame quảng cáo sẽ bị chặn và bạn sẽ thấy trang web như bình thường.
**Lưu ý 2: Còn 2 cách có thể áp dụng đó là vào các website chuyển tiếp setup DNS.
+ Website chuyển tiếp:
+ setup DNS:
Đầu tiên vào My Network Places sau đó chọn view network connections tiếp theo nháy đúp vào biểu tượng mạng máy tính(Local Area Connection) Chọn internet protocol tcp/ip tiếp theo chọn properties. Hiện ra bảng cấu hình địa chỉ mạng và lần lượt đặt địa chỉ mạng tỉnh như sau: Ip addres 192.168.1.45
subnet mask: 255.255.255.0
default: 192.168.1.1
dsn server: 8.8.8.8
DSN server: 8.8.4.4
6. Phòng chống và diệt Virus:
Đừng bao giờ nghĩ rằng chiếc PC chạy Windows của bạn luôn an toàn trước vấn nạn virus. Mặc dù trên máy đã có cài phần mềm phòng chống virus miễn phí uy tín (Avast, Microsoft Security Essentials) hay phải trả tiền cho những thương hiệu mạnh (Symantec Norton, Kaspersky), bạn vẫn nên tận dụng hết lợi thế của những thiết lập bảo mật được tích hợp sẵn trong Windows 7.
Action Center
Action Center là trung tâm quản trị bảo mật trên PC, nơi liệt kê và cho phép thiết lập tăng cường bảo mật như tường lửa, cũng như kiểm tra thường xuyên tình trạng bảo trì, bao gồm sao lưu và phục hồi dữ liệu, để đảm bảo chắc chắn là máy của bạn luôn “sạch”.
Action Center có biểu tượng là lá cờ trắng bên phải thanh công cụ của Windows 7, hoặc có thể truy xuất bằng cách nhấp chuột vào: Control Panel/System and Security/Action Center.
Tại cửa sổ Action Center, bạn nên chắc chắn rằng Windows Firewall đang được bật (on), phần mềm phòng chống virus đã được cập nhật bản mới nhất và hệ thống Windows đang được đặt chế độ tự động cập nhật.
Mỗi khi một mục bảo mật nào đó trong diện giám sát có sự thay đổi, ví dụ phần mềm virus đã quá hạn cập nhật, Action Center đưa ra cảnh báo trên thanh tác vụ taskbar. Khi đó, mở Action Center sẽ thấy mục này có màu đỏ, cho thấy vấn đề là nghiêm trọng, và yêu cầu xử lý.
Action Center hữu ích trong việc cảnh báo cho bạn những rắc rối có thể xảy đến, và hãy nhớ, đừng phớt lờ những cảnh báo do Action Center đưa ra.
Windows Defender
Windows Defender là phần mềm phòng chống spyware, được tích hợp sẵn và chạy tự động (nếu được bật lên) trong Windows 7.
Spyware (phần mềm gián điệp) là bất kỳ phần mềm nào không mong muốn hoặc có thể gây hại, đã âm thầm “chui” vào máy của bạn vào một lúc nào đó bạn không hề biết. Nó có thể lây qua đường Internet, mạng nội bộ, hoặc từ các thiết bị lưu trữ đã bị nhiễm như CD/DVD hay USB.
Windows Defender ngăn chặn spyware theo 2 cách:
• Bảo vệ theo thời gian thực. Windows Defender đưa ra cảnh báo khi spyware tìm cách tự cài nó vào máy tính hoặc bắt đầu hoạt động. Cảnh báo cũng được đưa ra khi các chương trình tìm cách thay đổi các thiết lập quan trọng trong Windows.
• Tùy chọn quét. Bạn có thể sử dụng Windows Defender để quét phát hiện spyware có thể có trên máy của mình, lên lịch quét thường xuyên, và đặt tùy chọn tự động gỡ bỏ bất cứ thứ gì bị phát hiện là đã nhiễm trong quá trình quét.
Để mở Windows Defender, nhấp chuột vào Start, gõ Defender vào hộp tìm kiếm (search), rồi chọn Windows Defender trong danh sách kết quả hiện lên.
User Account Control
UAC (kiểm soát tài khoản người dùng) là tính năng bảo mật nhắc nhở bạn quyền cài đặt hoặc chạy một chương trình. UAC hỏi nhiều tới mức khiến người dùng Windows Vista khó chịu, nhưng đã được cải tiến trong Windows 7. Tùy chọn không còn đơn giản với on/off mà đã có 4 cấp độ cảnh báo người dùng có thể đặt.
Windows 7 UAC có 4 mức cảnh báo.
Windows 7 UAC thông báo cho bạn biết khi một chương trình tạo sự thay đổi có thể gây hại cho máy hoặc khiến hệ thống dễ bị tấn công.
Nếu bạn có quyền quản trị (đa phần là như vậy), bạn chấp nhận (chọn “Yes”) để tiếp tục. Nếu tài khoản Windows bạn đang dùng không phải là quản trị, sẽ cần nhập mật khẩu của một tài khoản quản trị để tiếp tục.
Khi hệ thống yêu cầu bạn quyền để chạy hoặc cài đặt một phần mềm, UAC sẽ bật lên một hộp thoại, nhắc bạn một trong bốn câu sau, tùy theo tình huống:
• Chương trình hay thiết lập là một phần của Windows và cần có quyền (administrator).
• Chương trình không thuộc Windows và cần có quyền mới thực hiện được.
• Chương trình chưa được nhận biết và cần có quyền mới thực hiện được.
• Chương trình đã bị chặn bởi người quản trị hệ thống vì chưa được nhận biết hoặc không đáng tin cậy.
Để sửa các thiết lập đối với UAC, nhấp chuột vào Start, và chọn Control Panel. Trong hộp tìm kiếm, gõ uac rồi chọn Change User Account Control Settings.
Windows Update
Windows Update nhiều khi có thể gây phiền hà cho bạn. Đó là lúc nó liên tục đề nghị khởi động lại máy sau khi có bản cập nhật quan trọng đã được tự động tải về và cài đặt lên hệ thống. Nhưng, nhờ vậy mà PC của bạn được nâng cấp chế độ bảo mật với những bản vá mới nhất của Windows, trong khi bạn chẳng mất công gì cả.
Bạn có thể thiết lập cho Windows luôn luôn tự động cài các bản cập nhật hay chỉ những bản “quan trọng” mà thôi. Các bản cập nhật quan trọng là những bản vá cho các lỗ hổng bảo mật được xác định là “nghiêm trọng”. Ngoài ra, còn có các bản cập nhật “khuyến nghị” dành cho những vấn đề ít quan trọng hơn.
Để bật tính năng tự động cập nhật cho Windows Updates, thực hiện các thao tác sau:
• Nhấp chuột vào Start, rồi gõ Update vào trong hộp tìm kiếm, sau đó chọn Windows Update trong danh sách kết quả.
• Trên cửa sổ bên trái, chọn Change Settings.
• Dưới Important Updates (cập nhật quan trọng), bạn có thể chọn nếu muốn các bản cập nhật mới được tự động tải về và cài đặt lên máy, kèm theo là giờ hẹn cập nhật hàng ngày mà bạn cho là thích hợp.
• Dưới Recommended Updates (cập nhật theo khuyến nghị) chọn vào hộp “Give me recommended updates the same way I receive important updates”, rồi nhấp chuột vào nút OK.
Windows Firewall
Windows Firewall là tính năng tường lửa trong Windows với hai lựa chọn on/off nhằm giúp ngăn chặn tin tặc và sâu máy tính tìm cách xâm nhập vào máy tính của bạn thông qua mạng nội bộ hay Internet. Tường lửa còn có tác dụng chặn máy tính của bạn, khi đã bị nhiễm, không cho gửi phần mềm độc hại đến các máy tính khác trong mạng.
Trừ khi máy của bạn đã nằm trong vùng an toàn nhờ có một tường lửa ngăn cách, như tường lửa mạng doanh nghiệp chẳng hạn, bạn nên bật tính năng Windows Firewall để bảo vệ máy của mình cũng như an toàn cho mạng nội bộ.
Để bật tính năng Windows Firewall, thực hiện như sau:
• Nhấp chuột vào Start, và chọn Control Panel. Gõ firewall vào hộp tìm kiếm, rồi chọn Windows Firewall.
• Trên cửa sổ bên trái, chọn “Turn Windows Firewall on or off”. Nếu bạn được nhắc nhập mật khẩu quản trị (administrator) thì gõ vào mật khẩu của một tài khoản quản trị.
• Chọn bật Windows Firewall dưới mỗi mạng nội bộ mà bạn muốn bảo vệ, rồi chọn OK.
Chú ý: Nếu máy tính của các bạn được nối với một mạng doanh nghiệp, các thiết lập của mạng này có thể ngăn bạn bật Windows Firewall.
– Một số phần mềm diệt và quét virus an toàn: Avast, Symantec, Kasperspy, Bitdefender, total Virus nhưng chúng tôi khuyên các bạn nên dùng bitdefender, total virus, Mcaffe hoặc avast là vừa chặn vừa quét virus hiệu quả nhất.
– Luôn cài sẵn Bitdefender hoạc Mcaffe để block virus và cảnh báo virus khi duyệt web cũng như dowload file.
– Sau đó dùng total virus để dò xét cẩn thận hơn trước khi mở file.
7. Các lưu ý cơ bản:
– Tuyệt đối không dùng email thật để comment cũng như đưa password trên bất cứ website nào.
– Không khai pass cũng như email trên tất cả trang web yêu cầu cần pass và mail để đọc tin. Muốn đọc thì tạo ra mail mới không dùng làm gì để duyệt web.
– Tuyệt đối không dùng yahoo messenger để chat vì bảo mật không tốt.Có thể dùng gtalk (hangout), skype.
– Các bạn có thể download dùng bản office portable để dùng vì nếu chỉ dùng word, exel, power point thì nên dùng bản này vì nó an toàn(Không phải setup mà chạy trực tiếp trên windows) nên không có malware nào phá được. Đặc biệt có thể copy vào usb để đem theo khi đến đâu chỉ cần click vào run là ok.
– Sử dụng bàn phím ảo: Để tránh những phần mềm gián điệp đang nằm trên máy tính của bạn, hoặc phục sẵn trên hệ thống đường truyền Internet của các nhà cung cấp dịch vụ thì khi gõ username và password thì các bạn nên sử dụng bàn phím ảo có sẵn trên máy tính và rê chuột để nhấn phím ảo này. Các phần mềm gián điệp sẽ gần như là bó tay trong việc lần mò ra những ký tự mà chúng ta vừa thao tác.
(Xem thêm bài viết tại DLB:
– Lưu ý khi dùng máy tính và mạng: Hạn chế dùng may tính Lenovo, điện thoại Lenovo và Huawei của Trung cộng, vừa thực hiện không dùng hàng Trung cộng triệt phá quan hệ Trung cộng – Việt Cộng mà không dùng vì có cài sẵn Virus mà chính phủ Mỹ, Úc… đã cảnh báo và ra lệnh cấm.
Không dùng Usb 3G tại Việt Nam trừ trường hợp bất khả kháng vì USB 3G tại VN đều gắn phần mềm theo dõi của Trung cộng – Việt công thông qua việc tất cả USB 3G của các nhà mạng tại Việt Nam như Mobifone,Vinaphone, Viettel đều dùng của Huawei sản xuất. Nên dùng các wifi public hoặc tại quán café rồi xong việc nên rút ngay, thay đổi địa điểm.
IV. Kết luận:
Trong bối cảnh tranh tối sáng của một nền chính trị độc tài cộng sản đang đi vào chỗ ngõ cụt thì chúng ta cần phải tỉnh táo và bình tâm trước bất cứ hành động nào. Lý tưởng chiến đấu dứt khoát với cộng sản là điều luôn phải giữ vững nhưng tùy tình hình chúng ta phải tùy biến để nắm lấy thời cơ.Việc chúng ta làm trước mắt là tích cực chuẩn bị lực lượng cho ván cờ tiếp theo với cộng sản. Khi thời cơ đến chúng ta sẽ phải vùng lên để tránh kỳ hạn Việt Nam được cộng sản giao cho Trung cộng năm 2020 theo thỏa ước Thành Đô.Tuy vậy cũng không thể vì nóng vội 80 năm qua bị cộng sản đàn áp mà đi đến những hành động có thể phá bỏ công sức đấu tranh bấy lâu nay. Bài học nóng vội thời Pháp là một ví dụ.Chỉ vì nóng vội quá muốn thoát Pháp mà bị tròng cổ cộng sản còn dã man và ngu dốt hơn Pháp. Mục tiêu tối thượng của chúng ta lúc này là xây dựng lực lượng, tuyên truyền sự thật và gây sức ép với cộng sản để khi thời cơ đến, cùng đồng bào dẹp bỏ hoàn toàn cộng sản độc tài.
Sẽ có rất nhiều lợi ích trong việc này đó là: Giữ được lửa và lực lượng đấu tranh thật sự không bị cộng sản bức hại. Đồng thời chúng ta hãy làm những gì cộng sản đang lo sợ để mau chóng giải thoát quê hương Việt Nam khỏi lũ bán nước và cướp nước. Tương lai nằm trong ta chính chúng ta. Không còn con đường nào khác ngoài con đường đi theo mô hình mà người Châu Âu đã khẳng định: Loại bỏ hoàn toàn cộng sản ra khỏi đời sống chính trị.
03/09/2013
danlambaovn.blogspot.com
Chúng ta phải làm gì? (Kỳ 3) – Hoạt động nhóm và thông tin liên lạc
Đặng Chí Hùng (Danlambao) – Kết hợp với các biện pháp đã nêu trong bài kỳ 2 để giành độc lập, tự do, dân chủ cho Việt Nam. Như trong “Chúng ta phải làm gì?” kỳ 2 tôi đã trình bày công việc trước mắt của chúng ta là hoạt động theo nhóm từng công việc cụ thể. Trong kỳ 3 này tôi xin gửi đến bạn đọc những gì chúng ta cần phải làm để hoạt động xây dựng lực lượng và nhóm cùng với một số lưu ý về thông tin liên lạc trong lúc chờ thời cơ vùng lên. Dẫu biết rằng trên thực tế đã có rất nhiều tổ chức đã có những hoạt động rất hiệu quả. Nhưng một chút kinh nghiệm nhỏ bé của tôi trong hoạt động mong rằng có thể giúp ích nhiều bạn. Đây hoàn toàn không phải là yêu cầu hay “dạy khôn” mà chỉ đơn thuần là một ý kiến, một lời chân thành của cá nhân tôi.
I. Đôi điều cơ bản về hoạt động nhóm
1. Đôi điều về nhóm
Mặc dù hoạt động nhóm đã phổ biến từ rất xa xưa. Nhưng thực tế cho thấy đã có những vấn đề nảy sinh trong mô hình làm việc theo nhóm thường liên quan đến nhiệm vụ được giao và quá trình triển khai công việc và bản thân quy trình làm việc đội nhóm.
Nếu không có sự chú ý đầy đủ đến quy trình này, hiệu quả của nhóm sẽ không được phát huy, và ngược lại, nếu có sự quản lý phù hợp, mô hình làm việc theo nhóm sẽ đạt hiệu quả gấp nhiều lần so với những gì một cá nhân riêng lẻ có thể làm được. Đây chính là lý do giải thích việc tại sao đội nhóm lại có sức hấp dẫn đến vậy, mặc dù quá trình hình thành nhóm luôn gặp nhiều khó khăn và đòi hỏi không ít thời gian.
Mô hình làm việc theo nhóm có thể thúc đẩy tinh thần hợp tác, sự phối hợp, hiểu biết và hỗ trợ lẫn nhau giữa các thành viên, từ đó tạo ra những giải pháp mới cho mọi vấn đề khó khăn. Những kỹ năng và sự hiểu biết của cả nhóm có ích lợi lớn đối với từng cá nhân. Tuy nhiên, lợi ích lớn nhất của mô hình đội nhóm là tận dụng mọi nguồn lực chung của nhóm.
Kỹ năng của mỗi cá nhân và sự tự giám sát của nhóm sẽ tạo điều kiện cho việc hoàn thành mục tiêu một cách tốt nhất. Thậm chí, với những vấn đề có thể được xử lý bởi một cá nhân thì việc giao cho đội nhóm giải quyết vẫn có những ích lợi riêng: thứ nhất là việc tham gia của nhóm sẽ tăng khả năng quyết định và thực hiện, thứ hai là có những vấn đề mà nhóm sẽ có khả năng phân tích rõ hơn chỉ một cá nhân riêng lẻ.
Ích lợi của mô hình đội nhóm còn được thể hiện qua sự hoàn thiện bản thân của mỗi thành viên tham gia. Qua việc tham gia thảo luận về quyết định của nhóm, qua việc tham gia tìm hiểu mục đích và văn hóa nhóm, mỗi người sẽ có khả năng giải quyết những vấn đề liên quan đến công việc. Từ góc độ cá nhân, mỗi người có thể phát huy được khả năng tiềm tàng của mình. Bởi vì nhóm có thể tạo môi trường làm việc tập thể – nơi mỗi cá nhân đều được giao trách nhiệm và có quyền hạn, nơi mà sự tin tưởng và sẻ chia được đặt lên hàng đầu – nên có thể khuyến khích mọi người làm việc nhiệt tình hơn.
Vì những lợi ích như vậy, nên việc xây dựng và phát triển nhóm là một nhiệm vụ rất quan trọng. Thông thường, quá trình phát triển của một nhóm trải qua các giai đoạn: hình thành, xung đột, bình thường hóa và cuối cùng là thực hiện.
Giai đoạn một: Là khi mọi người tập hợp thành một nhóm. Trong giai đoạn này, các thành viên tỏ ra giữ ý, khiêm nhường và có phần hơi lạnh nhạt. Mâu thuẫn hiếm khi bùng phát do chủ yếu mọi hoạt động còn mang tính chất cá nhân. Mỗi cá nhân sẽ đều có ý kiến riêng và nhìn chung đều dè dặt. Dường như không ai chứng tỏ được khả năng làm lãnh đạo của nhóm.
Giai đoạn hai: Đây là thời kỳ bắt đầu hình thành bè cánh, có sự xung đột giữa các tính cách trái ngược nhau, không ai chấp nhận ý kiến của người khác mà chưa có cuộc tranh cãi gay gắt trước đó. Đặc biệt là có rất ít sự giao tiếp giữa các thành viên, vì không ai sẵn sàng nghe người khác nói cũng như không chịu mở lòng với người khác. Cuộc “chiến tranh ngầm” này mang tính cực đoan với những lời châm chọc, công kích có ý nghĩa sâu xa.
Giai đoạn ba: Các tiểu nhóm bắt đầu nhận ra giá trị của mô hình làm việc hợp tác, do đó sự xung đột dần lắng xuống. Vì tinh thần hợp tác đã rõ ràng hơn nên mỗi thành viên cảm thấy an toàn để phát biểu ý kiến của mình và mọi vấn đề bắt đầu được thảo luận cởi mở với toàn nhóm. Đặc biệt là mọi người đã lắng nghe lẫn nhau. Phương pháp làm việc nhóm bắt đầu được thiết lập và được mọi thành viên thừa nhận.
Giai đoạn bốn: Là thực hiện nhiệm vụ của nhóm. Đây là giai đoạn nhóm làm việc nhiệt tình, tích cực và hiệu quả nhất. Nhóm ổn định thành một hệ thống có tổ chức, nền tảng của việc trao đổi ý kiến một cách tự do và thẳng thắn. Đây cũng là giai đoạn nhóm đạt được những mục tiêu chủ yếu và là công cụ hỗ trợ đắc lực nhất cho tổ chức.
2. Những kỹ năng cần thiết của nhóm
Một nhóm cần bao gồm hai kỹ năng là kỹ năng quản lý và kỹ năng tương tác cá nhân. Để phát huy hiệu quả làm việc theo nhóm, chúng ta cần tập hợp được cả hai kỹ năng này.
Một nhóm phải thực hiện hầu hết các nhiệm vụ như tổ chức các cuộc họp, quyết định ngân sách, lập các kế hoạch chiến lược, các mục tiêu và giám sát việc thực hiện. Sẽ là điều không tưởng khi hi vọng một cá nhân đảm nhận mọi trách nhiệm quản lý nhóm mà không có sự hỗ trợ nào từ các thành viên khác. Là một tập hợp các cá nhân khác nhau, nhóm còn cần phải học các cách ứng xử và các kỹ năng quản lý con người.
Để nhóm có thể phát triển tốt và phát huy tác dụng của nó, các bạn có thể tham khảo một số gợi ý sau đây:
Trước hết, nhóm cần có tâm điểm. Hai tâm điểm chính là nhóm và nhiệm vụ được giao. Nếu cần quyết định một vấn đề, nhóm sẽ quyết định. Nếu có vướng mắc, nhóm sẽ giải quyết. Nếu một thành viên không đủ năng lực hoàn thành nhiệm vụ, nhóm sẽ yêu cầu thay thế. Khi mâu thuẫn cá nhân tăng lên, nhóm cần xem xét vấn đề từ khía cạnh ảnh hưởng của mâu thuẫn đó tới những nhiệm vụ được giao cho mỗi cá nhân. Nhưng nếu nhóm thiếu sự tổ chức và mục đích cụ thể, khi đó trách nhiệm lại thuộc về cấp lãnh đạo và chủ đầu tư.
Thứ hai là cần có sự minh bạch rõ ràng về mục tiêu chính của công việc. Trong bất kỳ trường hợp nào, nhóm cũng phải giải thích rõ ràng và cụ thể nhằm đảm bảo mọi người đều hiểu rõ về điều đó.
Tiếp theo, nhóm cần có những cách tác động khác nhau lên các loại người khác nhau trong nhóm. Trách nhiệm của trưởng nhóm là khuyến khích các cá nhân ít nói bộc bạch ý kiến của mình và tham gia vào các cuộc thảo luận và hoạt động của nhóm. Ngược lại, những người sôi nổi trong nhóm thường có xu thế nổi bật và chiếm ưu thế ở trong các thảo luận nhóm. Trách nhiệm của trưởng nhóm là theo dõi họ, khuyến khích họ đóng góp ý kiến, đồng thời nhắc nhở họ phải biết lắng nghe ý kiến người khác.
Mặt khác, nhóm cũng cần có sự phản hồi trong mọi hoạt động của các cá nhân. Mọi sự phê bình phải mang tính công bằng và khách quan, tập trung vào nhiệm vụ mà họ thực hiện chứ không phải cá nhân họ. Những sai phạm cần được chỉ ra rõ ràng và kịp thời. Sẽ rất có ích nếu trưởng nhóm đưa ra sự phản hồi một cách thường xuyên, đặc biệt đối với lỗi lầm, dù là nhỏ nhất. Điều này sẽ làm giảm đi những tác động tiêu cực của sự sai lầm khi mọi việc đã trở nên quá muộn. Còn với các trường hợp làm việc tốt, trưởng nhóm nên khen ngợi và đánh giá cao. Điều đó sẽ khuyến khích mọi người làm việc tốt hơn.
Một điều cũng rất cần thiết khi làm việc trong nhóm là chủ động giao tiếp với mọi người. Giao tiếp là trách nhiệm của cả người nói lẫn người nghe. Người nói phải chủ động tìm cách diễn đạt ý kiến một cách ngắn gọn và dễ hiểu nhất, còn người nghe thì chủ động tìm cách hiểu ý của người nói và nếu có thắc mắc thì nên hỏi lại kỹ hơn. Tóm lại, cả hai cần đảm bảo ý kiến sẽ được diễn đạt một cách đầy đủ và chính xác.
Mô hình đội nhóm mang lại nhiều ích lợi, nhưng cũng là phong cách làm việc khó khăn đối với mọi người. Đội nhóm là một mối quan hệ, vì vậy bạn cần phải gìn giữ và củng cố nó. Một khi mọi người trong nhóm có trách nhiệm với mục tiêu chung, họ sẽ tạo thành một động lực lớn cho sự phát triển. Bên cạnh đó, thời gian và nguồn lực cần được phân bổ hợp lý trong nhóm, quy trình thực hiện của nhóm cần được thiết lập, giám sát và xem xét cụ thể.
II. Cụ thể các vấn đề nhóm trong đấu tranh chống cộng sản
Ở phần trên chúng ta đã nêu khái quát về lợi ích, khó khăn và những kỹ năng cần thiết của hoạt động nhóm. Trong phần này là những công việc cụ thể hơn trong vấn đề nhóm đấu tranh chống cộng sản.
Như chúng ta đã biết khi chúng ta đấu tranh ngoài tinh thần dân tộc thì những tính cách chuyên môn đều không được đào tạo theo kiểu “chính quy” bài bản như cộng sản, chưa kể sự lỏng lẻo trong thế “liên kết” hiện vẫn chưa thể thực hiện được trong bối cảnh tranh tối tranh sáng vì niềm tin đã bị chính sách “phân hóa” đốn ngã kể từ khi HCM đem chủ thuyết cộng sản về áp đặt trong đời sống của con dân Việt. Vì thế mục tiêu tối hậu phải là BÍ MẬT. Phải biết chia thành nhiều nhóm, phân công tác đặt đúng vai trò khả năng để thực hiện, đào tạo khả năng chuyên môn là điều rất cần thiết vì mỗi “hành động” phải đi đến thành công chứ không thể thất bại. Và một khi thất bại cũng chỉ ảnh hưởng một nhóm chứ không bị phá vỡ toàn diện. Bất cứ một tổ chức hay một đoàn thể nào cũng bắt đầu từ một người khởi xướng, hiền thần hay minh quân cũng đều phải thuộc lòng và áp dụng đúng với câu “Khử ngọc chỉ cần bảy ngày, nhận biết người tài phải cần đến ba năm” nhận biết người tài chưa đủ, phải biết sử dụng cái tài đó vào đúng nơi đúng chỗ, đúng việc. Khởi đầu dĩ nhiên là tạo dựng nhân lực, sau đó tùy theo khả năng nhân lực có được mà hành động, bên cạnh đó vẫn tiếp tục chiêu dụng nhân tài, những người đồng chí hướng. Sau đây là sơ đồ mô hình nhóm theo ý tưởng của tôi:
1. Nguyên tắc hoạt động của nhóm:
– Một nhóm nên có khoảng dưới 10 người (Nếu có đông hơn thì nên chia nhỏ) dưới sự lãnh đạo của một người, tất cả đều mang bí danh. Chỉ những thành viên trong nhóm biết nhau và không biết các thành viên nhóm khác.
– Các thành viên hoạt động thống nhất với các nhóm khác thông qua trưởng nhóm của mình mà không biết đến các thành viên nhóm khác (Có nghĩa là chỉ có các trưởng nhóm và các thành viên trong 1 nhóm biết nhau, hai nhóm kết nối thông qua trưởng nhó của mình).
– Mỗi một trưởng nhóm cũng là thành viên của một nhóm cấp cao hơn nên cũng áp dụng mô hình ban đầu như trên đã nêu.
– Mỗi một người sẽ thành lập một nhóm dưới 10 người dưới sự chỉ đạo của mình, từ đó con số sẽ nhân lên. Và cũng lặp lại mô hình ban đầu đó là chỉ trưởng nhóm mới biết được trưởng nhóm khác mà không được biết tên, thông tin của các thành viên nhóm khác.
– Làm được điều này sẽ an toàn vì nếu một nhóm bị lộ thì không ảnh hưởng nhiều đến nhóm khác. Mặc dù vậy vẫn đảm bảo tính thông suốt thông tin qua việc sử dụng Internet và qua 1 trưởng nhóm.
– Nên có một phó trưởng nhóm để chia sẻ công việc của nhóm và cũng sẵn sàng thay thế trưởng nhóm trong trường hợp bất khả kháng.
2. Một vài lưu ý trong hoạt động nhóm:
-Vấn đề chi tiết trong kế hoạch hành động nó mang tính cách chiến thuật, điều này tùy thuộc vào khả năng của người lãnh đạo để đặt tên cho mỗi “chiến dịch”. Như vậy việc vạch ra hành động cho nhóm đặt ra yêu cầu người lãnh đạo phải tìm được Leader thích hợp.
– Không nên thông báo quá nhiều thông tin của nhóm như đi biểu tình, họp mặt vì như vậy công an, an ninh cộng sản sẽ biết trước kế hoạch để đàn áp. Cách thức thông tin là thông qua internet để các leader các nhóm dùng thành viên của mình để thông báo. Sau đó từ các thành viên lại tỏa đến các nhóm của mình theo mô hình bên trên. Kinh nghiệm từ các cuộc biểu tình, hội họp tại Việt Nam cho thấy cần dùng thành viên trong nhóm hơn là thông báo trên Facebook hay các trang mạng lề dân.
– Muốn cung cấp thông tin tuyên truyền cho bạn đọc thì nên dùng 1 facebook riêng không chung với facebook cá nhân.
– Tuyệt đối các leader không được lộ thông tin của thành viên nhóm mình cho các nhóm khác biết.
– Không dùng tên thật trong bất cứ tình huống nào để làm việc.
– Không nên mất quá nhiều thời gian vào họp hành và các công việc mang tính hình thức.
– Hạn chế mức tối đa họp nhóm offline. Dùng tối đa online để họp nhóm qua skype, teamviews…
– Luôn đề ra tâm điểm là lợi ích chung của phong trào đấu tranh chống cộng sản và đặt hiệu quả công việc lên trên hết.
III. Một số lưu ý trong thông tin liên lạc
Có thể có bạn đọc cho đây là điều thừa. Tuy nhiên cũng là rất cần thiết nếu chúng ta lưu ý đến các phương pháp bảo mật thông tin. Có thể sau này trong thực tiễn hoạt động phát sinh nhiều khó khăn như Virus mới, hacker mới do trình độ con người phát triển không giới hạn nhưng trong gia đoạn này cũng là có ích cho những nhóm cần bảo mật thông tin. Cũng cần nói thêm là trong khả năng có hạn của mình, đây chỉ là gợi ý của tôi. Những nhóm nào có khả năng kỹ thuật cao hơn thì sẽ có những biện pháp hoạt động tốt hơn giúp ích cho nhóm mình hoạt động an toàn. Phần này chỉ là ý kiến của tôi giúp bạn đọc tham khảo.
1. Vài lời khuyên về Hệ điều hành:
a. Windows:
– Thông thường chúng ta hay dùng hệ điều hành Windows. Trong các loại hệ điều hành Windows thì chúng ta hay dùng phổ biến là windows xp và windows 7.
– Các loại windows quá cổ lỗ thì không nên dùng vì không có update để tương thích với các vấn đề bảo mật cũng như phần mềm tương thích hoặc quá chậm. Windows 8 mới ra khuyên bạn không nên dùng vì cần thời gian hoàn thiện vá các lỗi cũng như để các phần mềm tương thích.
– Có thể chỉ dùng windows xp hoặc windows 7. Trong đó tôi khuyên các bạn nên dùng windows 7 bản ultimate 32 hoặc 64 bit tùy theo máy của các bạn. Bản ultimate là bản chạy ổn định và không có nhiều các lỗi bảo mật.
b. Android:
– Một lời khuyên là các bạn không nên dùng bất cứ thiết bị android nào để soạn thảo văn bản quan trọng vì HĐH này không an toàn ở bất cứ phiên bản nào. HĐH này chỉ phục vụ mức độ giải trí cho đến giờ phút này vì nó mắc quá nhiều lỗi bảo mật. Những virus có thể đến ngay từ những phần mềm trên Google Market không được kiểm soát.
– Không được dùng email quan trọng của mình có liên lạc với thành viên trong nhóm để đăng ký google market trên các thiết bị android. Điều này dễ dẫn đến lộ thông tin qua thiết bị Android.
c. Ubuntu:
– Lời khuyên tốt nhất cho các bạn là dùng hệ điều hành Ubuntu để dùng cách công việc cho mình. Vì ubuntu có mức độ an toàn hơn cả linux. Cho đến nay chưa có malware nào vượt qua được ubuntu (Mặc dù đã có lời đồn về Hacker có Virus cho Ubnutu nhưng chưa được kiểm chứng và cũng có thể sửa lỗi của Ubuntu khi phát hiện ra lỗi bảo mật).
– Nhược điểm của Ubuntu là có số 1 phần mềm không tương thích như yahoo messenger. Tuy nhiên đây cũng không phải là vấn đề lớn vì ta có thể cài đặt song song ubuntu trên 2 ổ cứng (hard disk) khác nhau. Một ổ dùng windows cho công việc thường. Còn Ubuntu thì dùng làm việc tốt với office, skype, gmail….
– Dowload ubuntu tại địa chỉ sau:
hoặc ra cửa hiệu mua đĩa ubuntu install để boot và cài đặt.
– Hướng dẫn cài ubuntu song song với windows:
Once the Windows installer has been downloaded, you need to open it to install Ubuntu. You’ll find detailed instructions below. If you need further help, support options are listed at the bottom of this page.
1. If you are using Internet Explorer, you’ll be asked whether you want to run or save the file. Choose ‘Run’ to launch the installer.
Most other web browsers (like Firefox, for example) will only ask you to save the file. To start the installation, click ‘Save’ and then double-click the downloaded file.
2. If a security message like this appears, click ‘Continue’ to proceed.
3. To install Ubuntu, all you need to do is choose your user name and password. Do note that you need to enter your password twice to make sure you typed it correctly.
4. After choosing your password, click ‘Install’. The files will be downloaded and installed automatically.
5. Wait until Ubuntu is downloaded and installed. This can take quite a while — the downloaded file size is around 500MB – but you can keep using your computer throughout.
6. When the installation is complete, you’ll be prompted to restart your computer. Click ‘Finish’ to restart.
7. After your computer restarts, choose ‘Ubuntu’ from the boot menu.
2.Trình duyệt web:
– Chúng ta có thể dùng 1 trong các trình duyệt sau đây: firefox, IE, Chrome, Opera..Nhưng theo lời khuyên các bạn nên dùng trình duyệt Opera hoặc Firefox để duyệt các web dễ bị theo dõi IP.
– Lý do dùng Opera là nhanh, có giao diện tiếng Anh, Việt, dễ dùng và đặc biệt không có lỗi bảo mật cộng với việc có sẵn proxy ngăn chặn 1 số tấn công ban đầu và dò Ip của các trang web độc.
– Không nên dùng chrome để duyệt các website nhạy cảm vì trình duyệt này tương đối nhiều lỗi bảo mật.
– Khi dùng thì tuyệt đối không dùng chế độ lưu lịch sử (history tự động) hoặc khi dùng xong thì bạn clear history đi ngay.
– Lưu ý: có thể dùng CCleaner để xóa thường xuyên các cookies duyệt web. Tuyệt đối không để lưu password email, skype, yahoo trên website mà phải dùng chế độ hỏi pass mỗi khi kích hoạt chương trình.
Dowload CCleaner tại đây:
Dowload opera tại đây:
3. Lưu trữ:
– Hiện nay các dịch vụ đám mây chưa hoàn thiện công nghệ bảo mật và cũng có thể các dịch vụ của công ty chịu sự kiểm duyệt của chính quyền nên không nên dùng các dịch vụ chia sẻ và lưu trữ dữ liệu đám mây cho các dữ kiện quan trọng.
– Có thể dùng usb hoặc ổ cứng (HDD) cắm ngoài để lưu trữ, tuy nhiên phải đặt pass các tài liệu làm 2 lớp; Lớp thứ nhất đặt pass trong word, exel… lớp thứ hai là đặt pass tại folder.Có thể dùng phần mềm để khóa folder, có nhiều loại phần mềm. Tôi khuyên các bạn nên dùng Bitlocker hoặc folder lock
– Các usb, ổ cứng cắm ngoài phải được kiểm tra và diệt virus bằng các phần mềm diệt virus chuyên dụng trước khi copy dữ liệu và tương tác với máy tính.
4. Email:
– Lời khuyên cho các bạn không nên dùng yahoo mail. An toàn nhất hiện nay là gmail hoặc tốt hơn là một email có mua của 1 công ty lớn bên Mỹ. Xin giới thiệu ví dụ như Go Daddy chẳng hạn.
– Không dùng email chính của mình có thông tin quan trọng trên thiết bị android, đặc biệt là tránh share trên google hoặc sync trên thiết bị android.
– Không dùng email thật của mình đăng ký các website hoặc diễn đàn.
– Nên tạo chữ ký khi dùng và đặc biệt dùng http (vào setting ->chê độ always use http)
– Không dùng email chính cho facebook hoặc các mạng xã hội tương tự.
– Nên dùng opera đi kèm với các phần mềm fake ip (sẽ giới thiệu ở dưới) để mở email.
– Nên quét virus các file đính kèm (đặc biệt các email lạ) bằng total virus rồi hãy mở file đó.
5. Các phần mềm vượt tường lửa:
Các bạn có thể dùng nhiều biện pháp, phần mềm để vượt tường lửa và fake ip cho an toàn nhưng tôi giới thiệu 2 phương pháp phổ biến và an toàn nhất sau đây (Xin trích dẫn chính bài viết đã được DLB đăng tải):
a. Hướng dẫn vượt tường lửa bằng phần mềm Ultra Surf
Xem tại:
* Lưu ý: Các bạn không cần dùng bản IE mà Ultrasurf đã tự động hiện lên. Các bạn tắt IE đi mà dùng các trình duyệt khác như Firefox, Opera… để dùng Ultrasurf.
b. Dùng Hospot Shield:
Xem tại:
* Lưu ý 1: Các bạn có thể thấy trên đầu trang web bạn truy cập sẽ có quảng cáo của Hotspot Shield chèn vào. Nếu bạn dùng IE thì bạn sẽ phải chung sống với nó vì không có cách nào loại bỏ được. Nếu bạn dùng Firefox hoặc Chrome thì có thể loại bỏ quảng cáo này rất đơn giản bằng cách cài thêm add-on AdBlock Plus, frame quảng cáo sẽ bị chặn và bạn sẽ thấy trang web như bình thường.
**Lưu ý 2: Còn 2 cách có thể áp dụng đó là vào các website chuyển tiếp setup DNS.
+ Website chuyển tiếp:
+ setup DNS:
Đầu tiên vào My Network Places sau đó chọn view network connections tiếp theo nháy đúp vào biểu tượng mạng máy tính(Local Area Connection) Chọn internet protocol tcp/ip tiếp theo chọn properties. Hiện ra bảng cấu hình địa chỉ mạng và lần lượt đặt địa chỉ mạng tỉnh như sau: Ip addres 192.168.1.45
subnet mask: 255.255.255.0
default: 192.168.1.1
dsn server: 8.8.8.8
DSN server: 8.8.4.4
6. Phòng chống và diệt Virus:
Đừng bao giờ nghĩ rằng chiếc PC chạy Windows của bạn luôn an toàn trước vấn nạn virus. Mặc dù trên máy đã có cài phần mềm phòng chống virus miễn phí uy tín (Avast, Microsoft Security Essentials) hay phải trả tiền cho những thương hiệu mạnh (Symantec Norton, Kaspersky), bạn vẫn nên tận dụng hết lợi thế của những thiết lập bảo mật được tích hợp sẵn trong Windows 7.
Action Center
Action Center là trung tâm quản trị bảo mật trên PC, nơi liệt kê và cho phép thiết lập tăng cường bảo mật như tường lửa, cũng như kiểm tra thường xuyên tình trạng bảo trì, bao gồm sao lưu và phục hồi dữ liệu, để đảm bảo chắc chắn là máy của bạn luôn “sạch”.
Action Center có biểu tượng là lá cờ trắng bên phải thanh công cụ của Windows 7, hoặc có thể truy xuất bằng cách nhấp chuột vào: Control Panel/System and Security/Action Center.
Tại cửa sổ Action Center, bạn nên chắc chắn rằng Windows Firewall đang được bật (on), phần mềm phòng chống virus đã được cập nhật bản mới nhất và hệ thống Windows đang được đặt chế độ tự động cập nhật.
Mỗi khi một mục bảo mật nào đó trong diện giám sát có sự thay đổi, ví dụ phần mềm virus đã quá hạn cập nhật, Action Center đưa ra cảnh báo trên thanh tác vụ taskbar. Khi đó, mở Action Center sẽ thấy mục này có màu đỏ, cho thấy vấn đề là nghiêm trọng, và yêu cầu xử lý.
Action Center hữu ích trong việc cảnh báo cho bạn những rắc rối có thể xảy đến, và hãy nhớ, đừng phớt lờ những cảnh báo do Action Center đưa ra.
Windows Defender
Windows Defender là phần mềm phòng chống spyware, được tích hợp sẵn và chạy tự động (nếu được bật lên) trong Windows 7.
Spyware (phần mềm gián điệp) là bất kỳ phần mềm nào không mong muốn hoặc có thể gây hại, đã âm thầm “chui” vào máy của bạn vào một lúc nào đó bạn không hề biết. Nó có thể lây qua đường Internet, mạng nội bộ, hoặc từ các thiết bị lưu trữ đã bị nhiễm như CD/DVD hay USB.
Windows Defender ngăn chặn spyware theo 2 cách:
• Bảo vệ theo thời gian thực. Windows Defender đưa ra cảnh báo khi spyware tìm cách tự cài nó vào máy tính hoặc bắt đầu hoạt động. Cảnh báo cũng được đưa ra khi các chương trình tìm cách thay đổi các thiết lập quan trọng trong Windows.
• Tùy chọn quét. Bạn có thể sử dụng Windows Defender để quét phát hiện spyware có thể có trên máy của mình, lên lịch quét thường xuyên, và đặt tùy chọn tự động gỡ bỏ bất cứ thứ gì bị phát hiện là đã nhiễm trong quá trình quét.
Để mở Windows Defender, nhấp chuột vào Start, gõ Defender vào hộp tìm kiếm (search), rồi chọn Windows Defender trong danh sách kết quả hiện lên.
User Account Control
UAC (kiểm soát tài khoản người dùng) là tính năng bảo mật nhắc nhở bạn quyền cài đặt hoặc chạy một chương trình. UAC hỏi nhiều tới mức khiến người dùng Windows Vista khó chịu, nhưng đã được cải tiến trong Windows 7. Tùy chọn không còn đơn giản với on/off mà đã có 4 cấp độ cảnh báo người dùng có thể đặt.
Windows 7 UAC có 4 mức cảnh báo.
Windows 7 UAC thông báo cho bạn biết khi một chương trình tạo sự thay đổi có thể gây hại cho máy hoặc khiến hệ thống dễ bị tấn công.
Nếu bạn có quyền quản trị (đa phần là như vậy), bạn chấp nhận (chọn “Yes”) để tiếp tục. Nếu tài khoản Windows bạn đang dùng không phải là quản trị, sẽ cần nhập mật khẩu của một tài khoản quản trị để tiếp tục.
Khi hệ thống yêu cầu bạn quyền để chạy hoặc cài đặt một phần mềm, UAC sẽ bật lên một hộp thoại, nhắc bạn một trong bốn câu sau, tùy theo tình huống:
• Chương trình hay thiết lập là một phần của Windows và cần có quyền (administrator).
• Chương trình không thuộc Windows và cần có quyền mới thực hiện được.
• Chương trình chưa được nhận biết và cần có quyền mới thực hiện được.
• Chương trình đã bị chặn bởi người quản trị hệ thống vì chưa được nhận biết hoặc không đáng tin cậy.
Để sửa các thiết lập đối với UAC, nhấp chuột vào Start, và chọn Control Panel. Trong hộp tìm kiếm, gõ uac rồi chọn Change User Account Control Settings.
Windows Update
Windows Update nhiều khi có thể gây phiền hà cho bạn. Đó là lúc nó liên tục đề nghị khởi động lại máy sau khi có bản cập nhật quan trọng đã được tự động tải về và cài đặt lên hệ thống. Nhưng, nhờ vậy mà PC của bạn được nâng cấp chế độ bảo mật với những bản vá mới nhất của Windows, trong khi bạn chẳng mất công gì cả.
Bạn có thể thiết lập cho Windows luôn luôn tự động cài các bản cập nhật hay chỉ những bản “quan trọng” mà thôi. Các bản cập nhật quan trọng là những bản vá cho các lỗ hổng bảo mật được xác định là “nghiêm trọng”. Ngoài ra, còn có các bản cập nhật “khuyến nghị” dành cho những vấn đề ít quan trọng hơn.
Để bật tính năng tự động cập nhật cho Windows Updates, thực hiện các thao tác sau:
• Nhấp chuột vào Start, rồi gõ Update vào trong hộp tìm kiếm, sau đó chọn Windows Update trong danh sách kết quả.
• Trên cửa sổ bên trái, chọn Change Settings.
• Dưới Important Updates (cập nhật quan trọng), bạn có thể chọn nếu muốn các bản cập nhật mới được tự động tải về và cài đặt lên máy, kèm theo là giờ hẹn cập nhật hàng ngày mà bạn cho là thích hợp.
• Dưới Recommended Updates (cập nhật theo khuyến nghị) chọn vào hộp “Give me recommended updates the same way I receive important updates”, rồi nhấp chuột vào nút OK.
Windows Firewall
Windows Firewall là tính năng tường lửa trong Windows với hai lựa chọn on/off nhằm giúp ngăn chặn tin tặc và sâu máy tính tìm cách xâm nhập vào máy tính của bạn thông qua mạng nội bộ hay Internet. Tường lửa còn có tác dụng chặn máy tính của bạn, khi đã bị nhiễm, không cho gửi phần mềm độc hại đến các máy tính khác trong mạng.
Trừ khi máy của bạn đã nằm trong vùng an toàn nhờ có một tường lửa ngăn cách, như tường lửa mạng doanh nghiệp chẳng hạn, bạn nên bật tính năng Windows Firewall để bảo vệ máy của mình cũng như an toàn cho mạng nội bộ.
Để bật tính năng Windows Firewall, thực hiện như sau:
• Nhấp chuột vào Start, và chọn Control Panel. Gõ firewall vào hộp tìm kiếm, rồi chọn Windows Firewall.
• Trên cửa sổ bên trái, chọn “Turn Windows Firewall on or off”. Nếu bạn được nhắc nhập mật khẩu quản trị (administrator) thì gõ vào mật khẩu của một tài khoản quản trị.
• Chọn bật Windows Firewall dưới mỗi mạng nội bộ mà bạn muốn bảo vệ, rồi chọn OK.
Chú ý: Nếu máy tính của các bạn được nối với một mạng doanh nghiệp, các thiết lập của mạng này có thể ngăn bạn bật Windows Firewall.
– Một số phần mềm diệt và quét virus an toàn: Avast, Symantec, Kasperspy, Bitdefender, total Virus nhưng chúng tôi khuyên các bạn nên dùng bitdefender, total virus, Mcaffe hoặc avast là vừa chặn vừa quét virus hiệu quả nhất.
– Luôn cài sẵn Bitdefender hoạc Mcaffe để block virus và cảnh báo virus khi duyệt web cũng như dowload file.
– Sau đó dùng total virus để dò xét cẩn thận hơn trước khi mở file.
7. Các lưu ý cơ bản:
– Tuyệt đối không dùng email thật để comment cũng như đưa password trên bất cứ website nào.
– Không khai pass cũng như email trên tất cả trang web yêu cầu cần pass và mail để đọc tin. Muốn đọc thì tạo ra mail mới không dùng làm gì để duyệt web.
– Tuyệt đối không dùng yahoo messenger để chat vì bảo mật không tốt.Có thể dùng gtalk (hangout), skype.
– Các bạn có thể download dùng bản office portable để dùng vì nếu chỉ dùng word, exel, power point thì nên dùng bản này vì nó an toàn(Không phải setup mà chạy trực tiếp trên windows) nên không có malware nào phá được. Đặc biệt có thể copy vào usb để đem theo khi đến đâu chỉ cần click vào run là ok.
– Sử dụng bàn phím ảo: Để tránh những phần mềm gián điệp đang nằm trên máy tính của bạn, hoặc phục sẵn trên hệ thống đường truyền Internet của các nhà cung cấp dịch vụ thì khi gõ username và password thì các bạn nên sử dụng bàn phím ảo có sẵn trên máy tính và rê chuột để nhấn phím ảo này. Các phần mềm gián điệp sẽ gần như là bó tay trong việc lần mò ra những ký tự mà chúng ta vừa thao tác.
(Xem thêm bài viết tại DLB:
– Lưu ý khi dùng máy tính và mạng: Hạn chế dùng may tính Lenovo, điện thoại Lenovo và Huawei của Trung cộng, vừa thực hiện không dùng hàng Trung cộng triệt phá quan hệ Trung cộng – Việt Cộng mà không dùng vì có cài sẵn Virus mà chính phủ Mỹ, Úc… đã cảnh báo và ra lệnh cấm.
Không dùng Usb 3G tại Việt Nam trừ trường hợp bất khả kháng vì USB 3G tại VN đều gắn phần mềm theo dõi của Trung cộng – Việt công thông qua việc tất cả USB 3G của các nhà mạng tại Việt Nam như Mobifone,Vinaphone, Viettel đều dùng của Huawei sản xuất. Nên dùng các wifi public hoặc tại quán café rồi xong việc nên rút ngay, thay đổi địa điểm.
IV. Kết luận:
Trong bối cảnh tranh tối sáng của một nền chính trị độc tài cộng sản đang đi vào chỗ ngõ cụt thì chúng ta cần phải tỉnh táo và bình tâm trước bất cứ hành động nào. Lý tưởng chiến đấu dứt khoát với cộng sản là điều luôn phải giữ vững nhưng tùy tình hình chúng ta phải tùy biến để nắm lấy thời cơ.Việc chúng ta làm trước mắt là tích cực chuẩn bị lực lượng cho ván cờ tiếp theo với cộng sản. Khi thời cơ đến chúng ta sẽ phải vùng lên để tránh kỳ hạn Việt Nam được cộng sản giao cho Trung cộng năm 2020 theo thỏa ước Thành Đô.Tuy vậy cũng không thể vì nóng vội 80 năm qua bị cộng sản đàn áp mà đi đến những hành động có thể phá bỏ công sức đấu tranh bấy lâu nay. Bài học nóng vội thời Pháp là một ví dụ.Chỉ vì nóng vội quá muốn thoát Pháp mà bị tròng cổ cộng sản còn dã man và ngu dốt hơn Pháp. Mục tiêu tối thượng của chúng ta lúc này là xây dựng lực lượng, tuyên truyền sự thật và gây sức ép với cộng sản để khi thời cơ đến, cùng đồng bào dẹp bỏ hoàn toàn cộng sản độc tài.
Sẽ có rất nhiều lợi ích trong việc này đó là: Giữ được lửa và lực lượng đấu tranh thật sự không bị cộng sản bức hại. Đồng thời chúng ta hãy làm những gì cộng sản đang lo sợ để mau chóng giải thoát quê hương Việt Nam khỏi lũ bán nước và cướp nước. Tương lai nằm trong ta chính chúng ta. Không còn con đường nào khác ngoài con đường đi theo mô hình mà người Châu Âu đã khẳng định: Loại bỏ hoàn toàn cộng sản ra khỏi đời sống chính trị.
03/09/2013











